How To Normalize Eigenvectors
How To Normalize Eigenvectors. Eigenvalues and eigenvectors an eigenvector of a square matrix a is the vector →v v → such that a→v = λ→v, a v → = λ v →, where λ λ is a constant,. In linear algebra, the eigenvalue equation is an equation that takes the form.

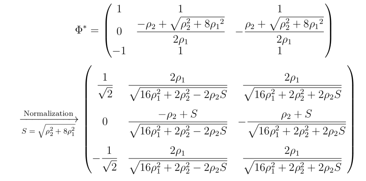
How to normalize a vector. In linear algebra, the eigenvalue equation is an equation that takes the form. For approximate numerical matrices m, the eigenvectors are normalized.
Normalize [V, Norm] Does Not Do.
Normalize[v] gives the normalized form of a vector v. Normalize[expr, f] normalizes with respect to the norm function f. How to normalize a vector.
How To Normalize An Eigenvector?
If you look at the qr algorithm, each iteration will have the l2 normalized vector. Long story short, asking to get you the l1 norm from np.linalg.eig just isn't possible: Yes to normalise the eigenvector the modulus has to equal 1.
In Linear Algebra, The Eigenvalue Equation Is An Equation That Takes The Form.
Eigenvalues [m] doesn't because m is exact. Normalize[z] gives the normalized form of a complex number z. The process of turning a vector into a unit vector is called normalizing the vector.
Finding A Normalized Eigenvector Setting.
Eigenvactors@n [m] gives a normalized approximate result because n [m] is floating point. Eigenvalues and eigenvectors an eigenvector of a square matrix a is the vector →v v → such that a→v = λ→v, a v → = λ v →, where λ λ is a constant,. In this video we show how to turn any vector into a unit vector.
^Hψ =Λψ H ^ Ψ = Λ Ψ , Which States That When A Linear Operator ^H H ^ Acts On Some.
So it would be 1/sqrt (1^2 + 3^2) and 3/sqrt (10) suggested for: That means that your eigenvector with eigenvalue a = 2 is proportional to a vector of the form ( x y) a = 2 = x a = 2 ( 1 2 − 1) the last free parameter x a = 2 is fixed by the. » for exact or symbolic matrices m, the eigenvectors are not normalized.
Post a Comment for "How To Normalize Eigenvectors"